• Предмет: Математика
  • Автор: Live1704
  • Вопрос задан 9 лет назад

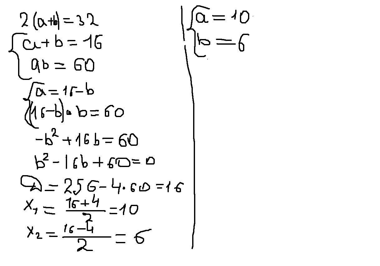
Периметр прямоугольника равен 32см, а площадь 60 см2. Найдите длину и ширину прямоугольника

Ответы

Ответ дал: Darya1805
0
.................................................
Приложения:
Вас заинтересует