• Предмет: Алгебра
  • Автор: Nimbus2011
  • Вопрос задан 9 лет назад

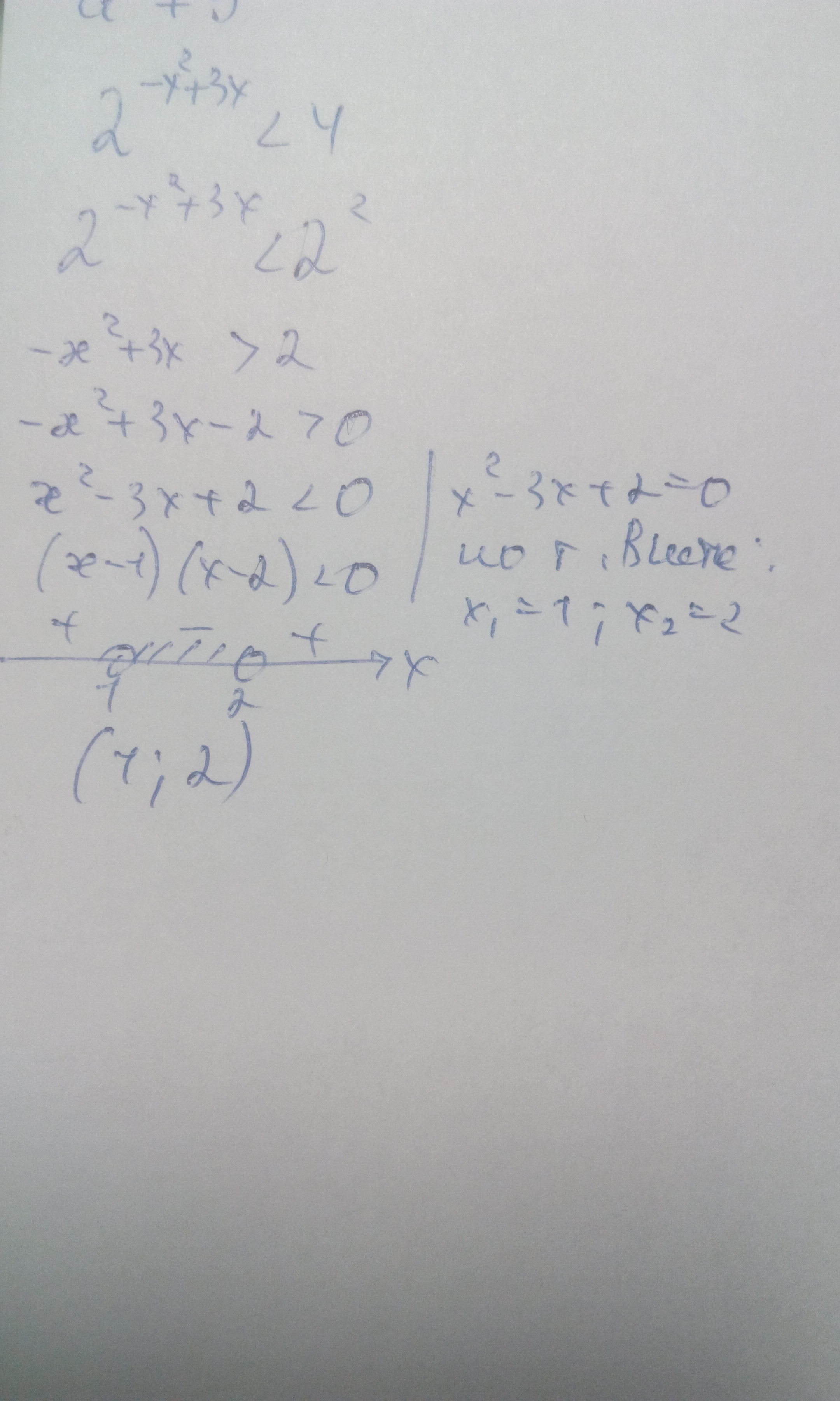
решить показательное неравенство 2^-х+3x <4

Ответы

Ответ дал: irinan2014
0
Всё подробно написала в решении.
Приложения:
Вас заинтересует