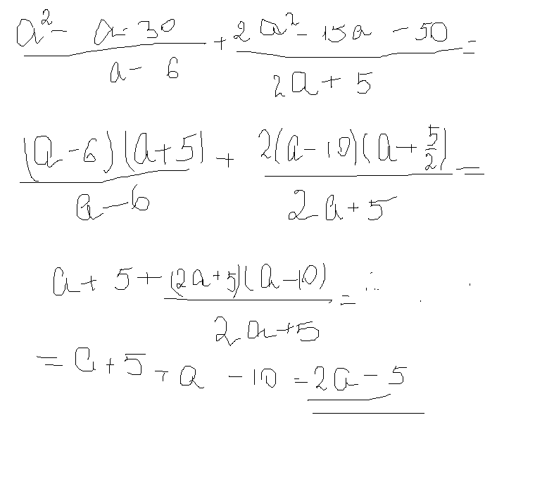
Упростите выражение : дробь a^2-a-30 деленное 0,5a-3 прибавить ( дробь ) 2a^2-15a-50 деленное на 2a+5 Помогииите пожалуйстаа! И как можно побыстрее Очееень надооо!
Ответы
Ответ дал:
0
извини за мой кривой почерк)
Приложения:
Вас заинтересует
3 года назад
3 года назад
8 лет назад
8 лет назад
11 лет назад
11 лет назад
11 лет назад