• Предмет: Алгебра
  • Автор: Nimbus2011
  • Вопрос задан 9 лет назад

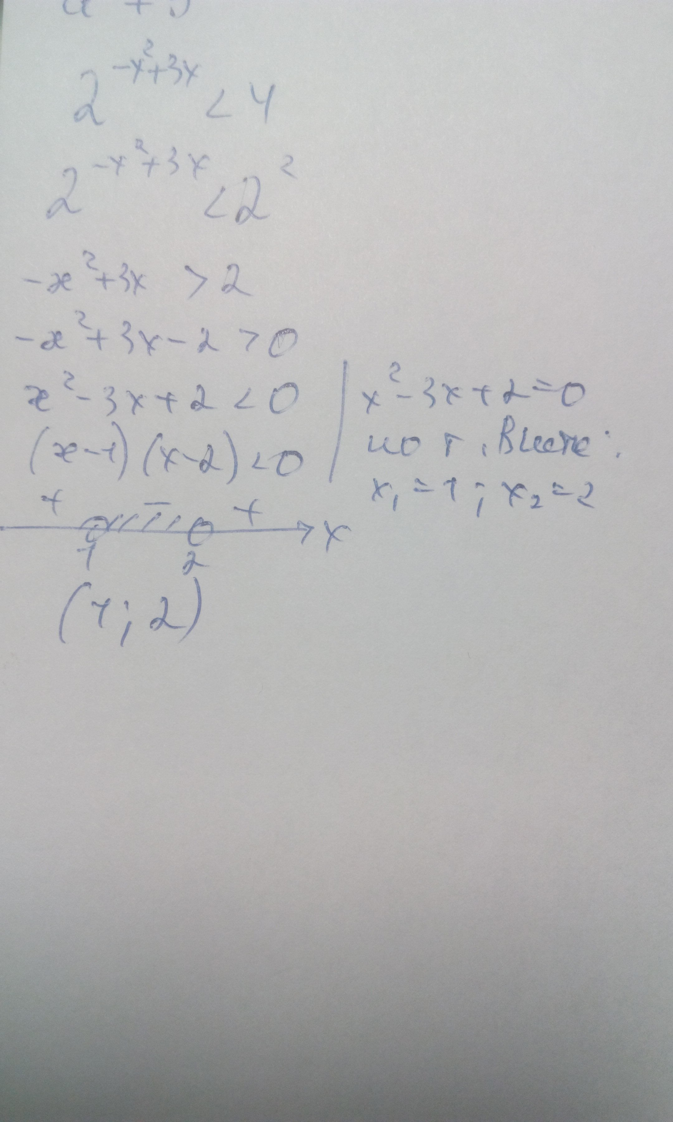
Помогите решить показательное неравенство 2^-x^2+3x <4

Ответы

Ответ дал: irinan2014
0
Решение дано на фото.
Приложения:
Вас заинтересует