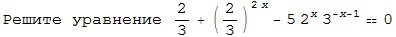
буду очень признательна за решение хоть какого-то примера с объяснением, решить остальные тогда будет легче!
Приложения:



Ответы
Ответ дал:
0
....................
Приложения:


Вас заинтересует
2 года назад
7 лет назад
9 лет назад
9 лет назад
10 лет назад