• Предмет: Алгебра
  • Автор: Янинка567
  • Вопрос задан 9 лет назад

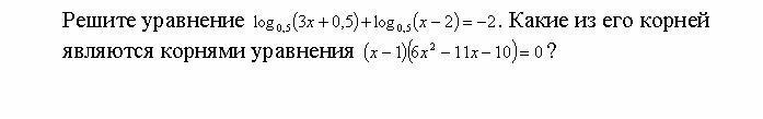
Помогите решить уравнение с логарифмом .

Приложения:

Ответы

Ответ дал: NNNLLL54
0
1)\log_{0,5}(3x+0,5)+log_{0,5}(x-2)=-2; ,; ; ODZ:;  left { {{3x+0,5 textgreater  0} atop {x-2 textgreater  0}} right. ; to ; x textgreater  2\\log_{0,5}(3x+0,5)(x-2)=log_{0,5}, (0,5)^{-2}\\3x^2-6x+0,5x-1=-2; |cdot 2\\6x^2-11x-10=0\\D=361; ,; sqrt{D}=19\\x_1= frac{11-19}{12} =-frac{2}{3}notin ODZ\\x_2= frac{11+19}{12}=frac{5}{2}=2,5in ODZ \\Onvet:; ; x=2,5; .

2)quad (x-1)(6x^2-11x-10)=0; ; to \\x-1=0; ; ili; ; ; 6x^2-11x-10=0\\x_1=1; ,; ; x_2=-frac{2}{3}; ,; ; x_3=2,5\\Otvet:; ; 1;; -frac{2}{3};; 2,5; .

Есть только один корень 1 уравнения, совпадающий с корнем 2 уравнения . Это  х=2,5 .
Вас заинтересует