Ответы
Ответ дал:
0
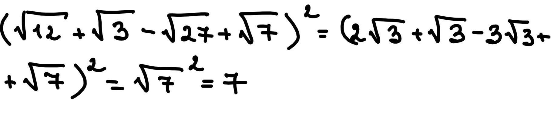
Ответ: 7. (Решение на рисунке)
Приложения:

Вас заинтересует
2 года назад
2 года назад
7 лет назад
7 лет назад
9 лет назад
9 лет назад
10 лет назад
10 лет назад