• Предмет: Алгебра
  • Автор: jaguarer
  • Вопрос задан 9 лет назад

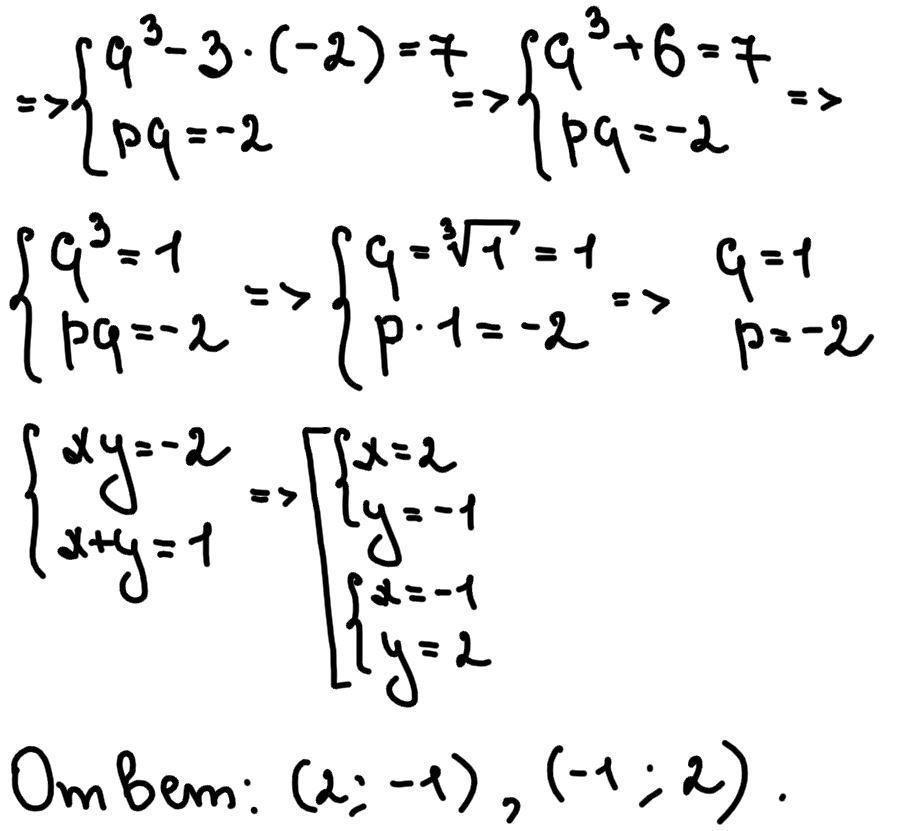
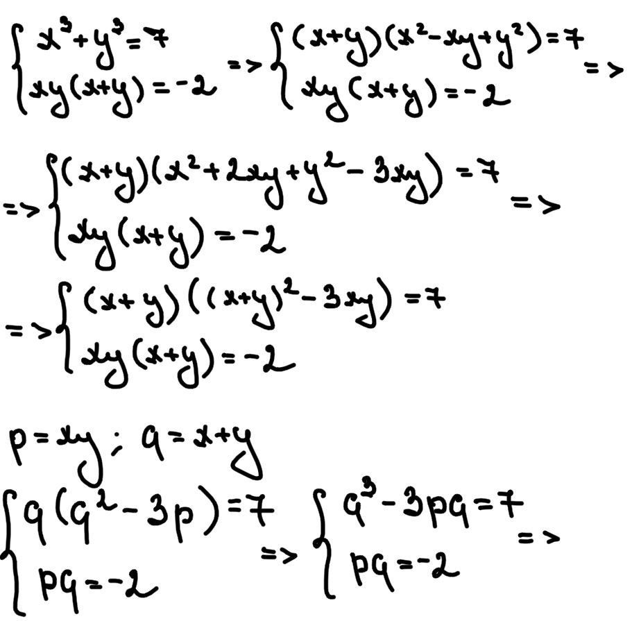
Решыте систему
x³+y³=7
xy(x+y)=-2

Ответы

Ответ дал: oOlDarknesslOo
0
Ответ: (2; -1), (-1; 2). (Решение на рисунках)
Приложения:
Вас заинтересует