Ответы
Ответ дал:
0
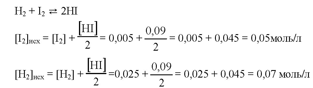
H2 + I2 = 2HI
количество прореагировавшего H2 и I2 равняется половине количества образовавшегося HI. чтобы найти исходное значение, сложим концентрации прореагировавшего и оставшегося H2 и I2.
количество прореагировавшего H2 и I2 равняется половине количества образовавшегося HI. чтобы найти исходное значение, сложим концентрации прореагировавшего и оставшегося H2 и I2.
Приложения:
Вас заинтересует
2 года назад
7 лет назад
7 лет назад
10 лет назад