Ответы
Ответ дал:
0
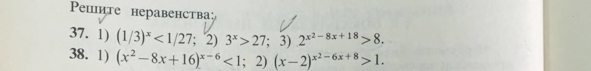
(1/3)
1/27=
x<3
1/27=
x<3
Вас заинтересует
7 лет назад
7 лет назад
10 лет назад
10 лет назад