• Предмет: Алгебра
  • Автор: 34743муз
  • Вопрос задан 9 лет назад

Помогите,Очень прошу,не понимаю

Приложения:

Ответы

Ответ дал: m11m
0
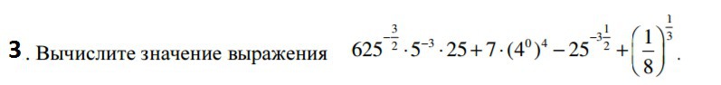
625^{- frac{3}{2} }*5^{-3}*25+7*(4^0)^4-25^{-3 frac{1}{2} }+( frac{1}{8} )^{ frac{1}{3} }= \  \ 
=(5^4)^{- frac{3}{2} }*5^{-3}*5^2+7*1^4-(5^2)^{- frac{7}{2} }+(2^{-3})^{ frac{1}{3} }= \  \ =5^{-6-3+2}+7*1-5^{-7}+2^{-1}= \  \ 
=5^{-7}+7-5^{-7}+ frac{1}{2} =7+0.5=7.5
Вас заинтересует