• Предмет: Алгебра
  • Автор: Аноним
  • Вопрос задан 9 лет назад

Решите срочно!!!!пожалуйста!желательно на листе и сфоткать...очень прошу

Приложения:

Ответы

Ответ дал: Jerzyz
0
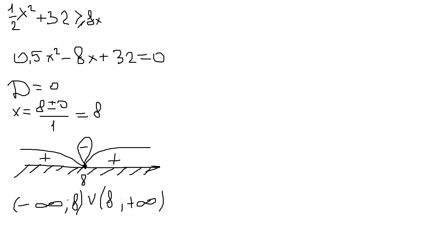
Вот не уверена, но думаю, что так

Приложения:
Ответ дал: Аноним
0
спасибо большое))
Вас заинтересует