Ответы
Ответ дал:
0
1
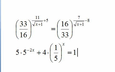
ОДЗ
x+1>0⇒x>-1
11/√(x+1) +5=8-7/√(x+1)
11/√(x+1)+7/√(x+1)=8-5
18/√(x+1)=3
√(x+1)=18:3
√(x+1)=6
x+1=36
x=36-1
x=35
Ответ х=35
2
5*5^(-2x)+4*5^(-x)=1
5^(-x)=a
5a²+4a-1=0
D=16+20=36
a1=(-4-6)/10=-1⇒5^(-x)=-1 нет решения
a2=(-4+6)/10=1/5⇒5^(-x)=5^(-1)
-x=-1
x=1
Ответ х=-1
ОДЗ
x+1>0⇒x>-1
11/√(x+1) +5=8-7/√(x+1)
11/√(x+1)+7/√(x+1)=8-5
18/√(x+1)=3
√(x+1)=18:3
√(x+1)=6
x+1=36
x=36-1
x=35
Ответ х=35
2
5*5^(-2x)+4*5^(-x)=1
5^(-x)=a
5a²+4a-1=0
D=16+20=36
a1=(-4-6)/10=-1⇒5^(-x)=-1 нет решения
a2=(-4+6)/10=1/5⇒5^(-x)=5^(-1)
-x=-1
x=1
Ответ х=-1
Вас заинтересует
2 года назад
2 года назад
7 лет назад
10 лет назад
10 лет назад
10 лет назад