• Предмет: Алгебра
  • Автор: Аноним
  • Вопрос задан 11 лет назад

даю лучший ответ только решите))
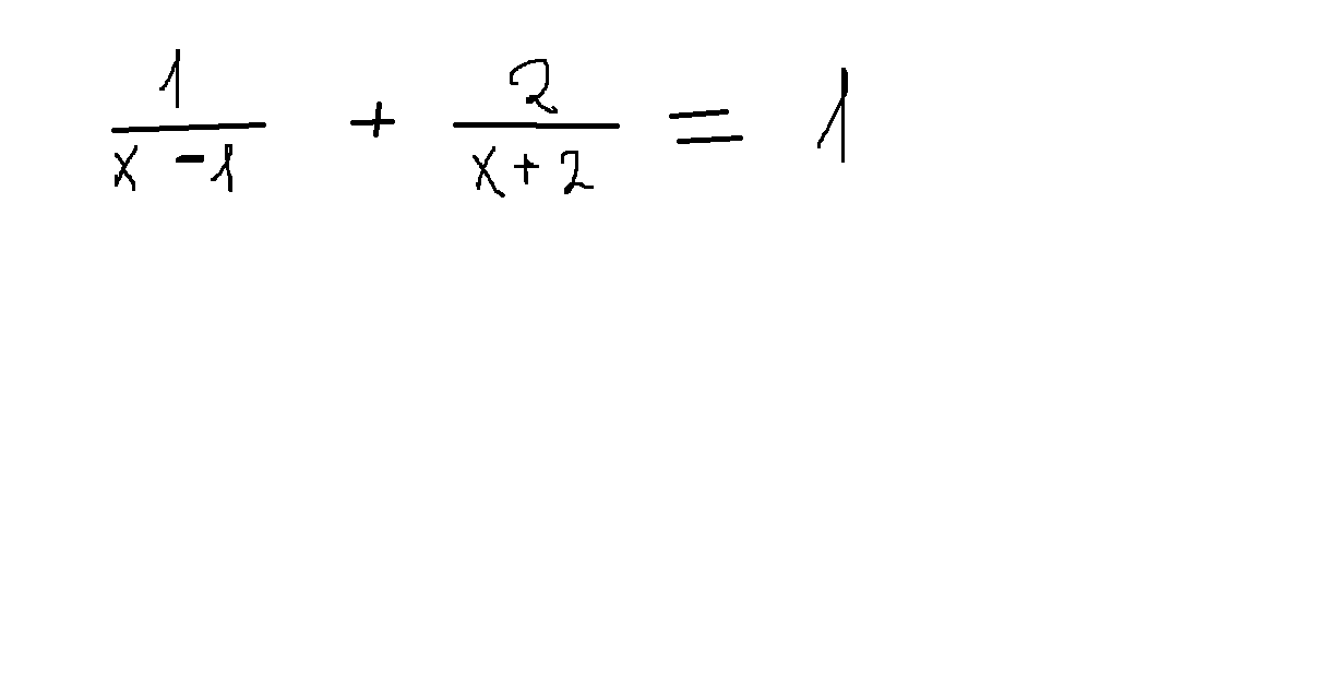
1. найти наибольший корень уравнения 

Приложения:

Ответы

Ответ дал: Cubalibra
0

(1/(x-1))+(2/(x+2))=1

(x+2+2(x-1))/(x-1)(x+2)=1

(x+2+2x-2)/(x²-x-2+2x)=1

3x/x²+x-2=1

по пропорции

3x=x²+x-2

x²+x-2-3x=0

x²-2x-2=0

d=4+8=12

x1=(2+√12)/2=(2+2√3)/2=2(1+√3)/2=1+√3 (больший корень)

x2=(2-√12)/2=(2-2√3)/2=2(1-√3)/2=1-√3

 

 

 

Вас заинтересует