Ответы
Ответ дал:
0
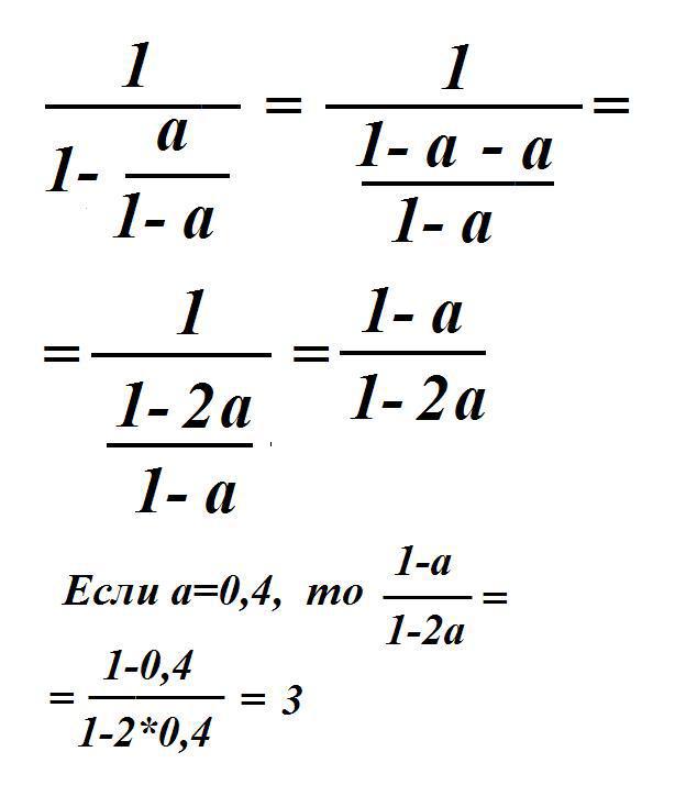
приведем выражение в знаменателе к общему знаменателю
(1-а)/(1-2а)
теперь подставим 0,4
(1-0,4)/(1-0,8)=0,6/0,2=3
Ответ:3
(1-а)/(1-2а)
теперь подставим 0,4
(1-0,4)/(1-0,8)=0,6/0,2=3
Ответ:3
Ответ дал:
0
Подробное решение на рисунке...
Приложения:

Вас заинтересует
2 года назад
2 года назад
7 лет назад
9 лет назад
10 лет назад