Ответы
Ответ дал:
0
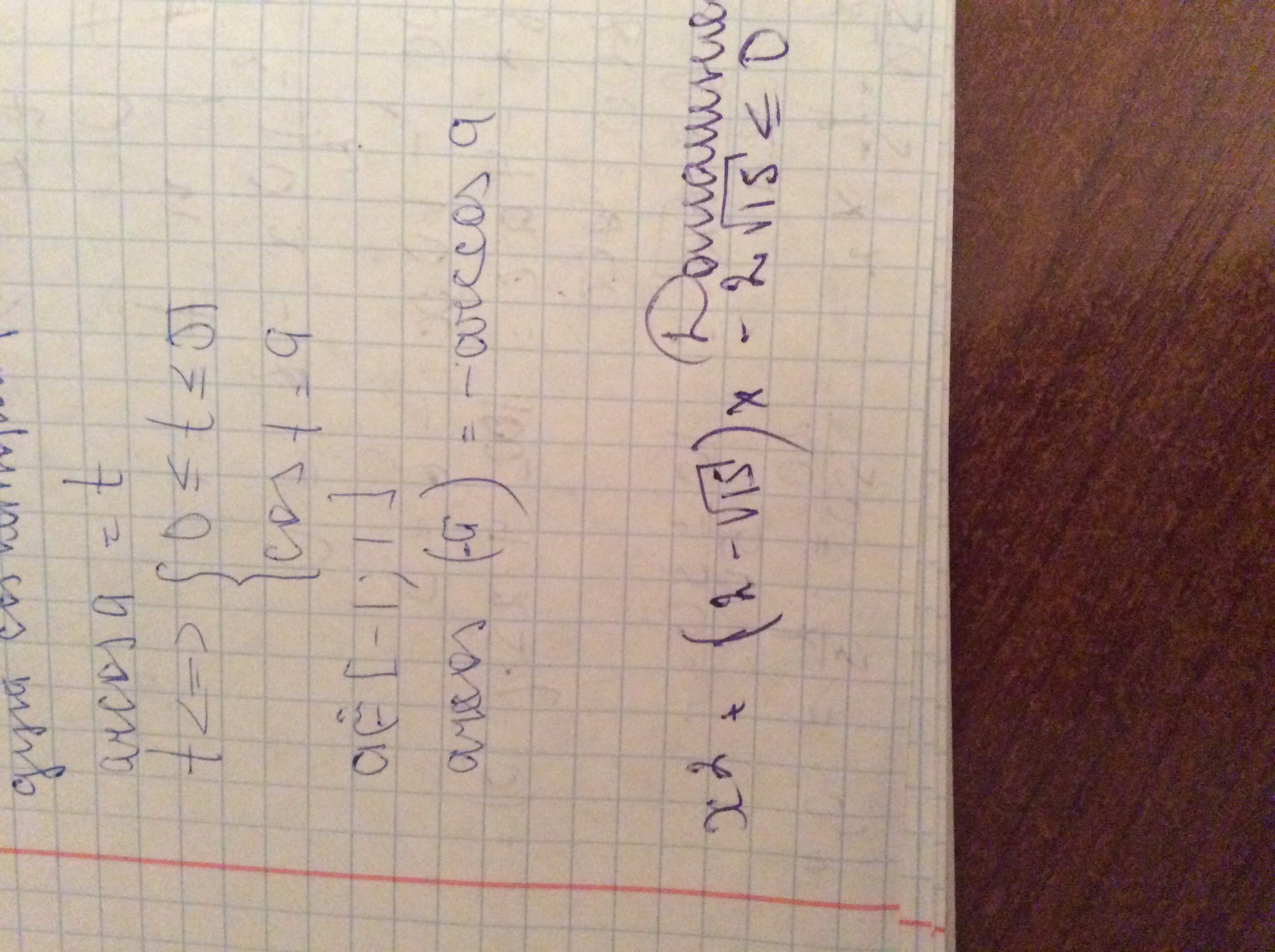
в этом уравнений мы используем дискриминант
D=(2-√15)^2+4*2√15=4-4√15+15+8√15=4+4√15+15=(2+√15)^2
X1=(2-√15+2+√15)/2=4/2=2
X2=(2-√15-2-√15)/2=-2√15/2=-√15
вот и все)))
D=(2-√15)^2+4*2√15=4-4√15+15+8√15=4+4√15+15=(2+√15)^2
X1=(2-√15+2+√15)/2=4/2=2
X2=(2-√15-2-√15)/2=-2√15/2=-√15
вот и все)))
Вас заинтересует
3 года назад
3 года назад
7 лет назад
7 лет назад
10 лет назад
10 лет назад
10 лет назад