• Предмет: Математика
  • Автор: Alinaskakova2004
  • Вопрос задан 9 лет назад

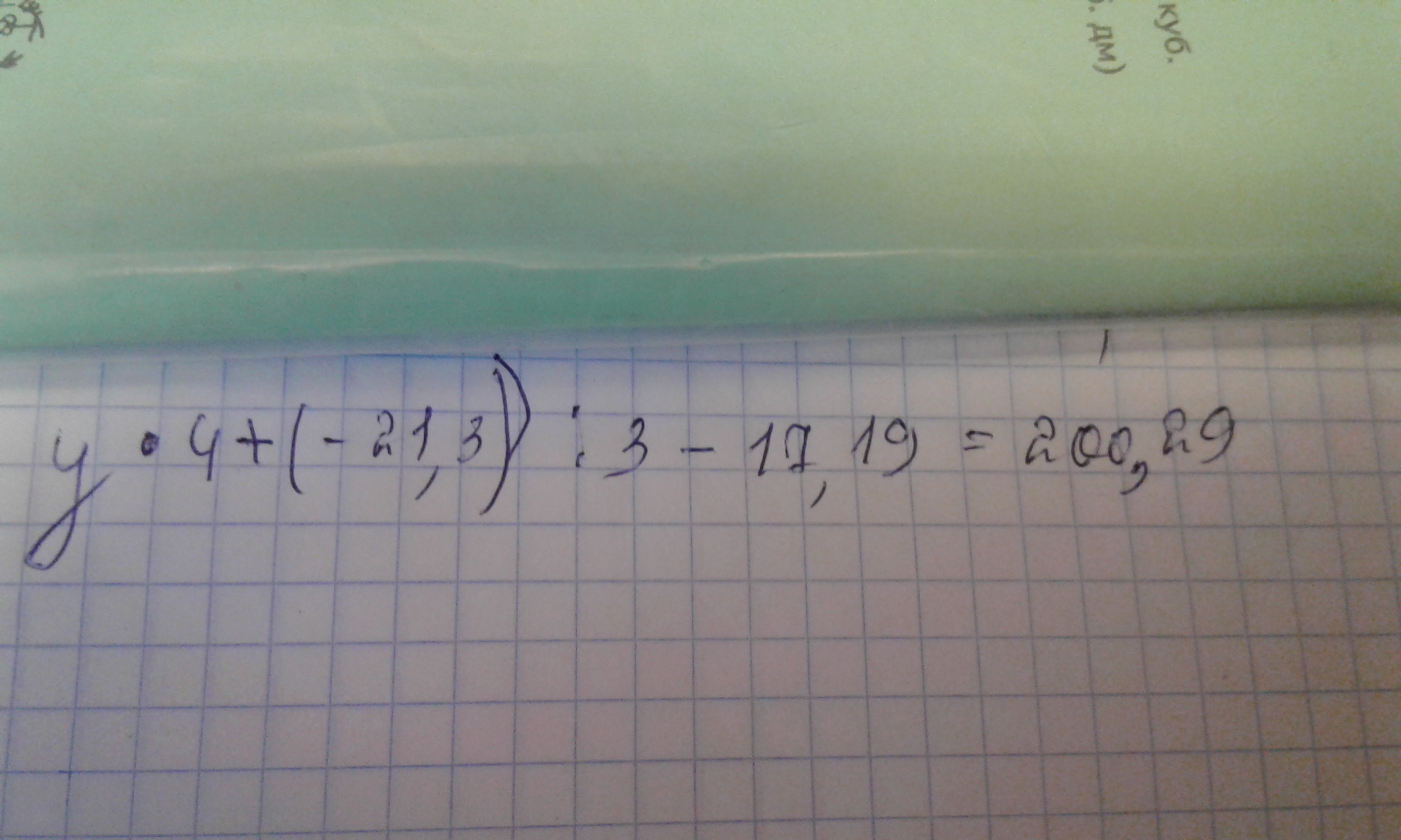
помогите решить уравнение..

Приложения:

Ответы

Ответ дал: DefAlt23
0
Ну тут все просто, делаешь так, оставляешь известные справа, неизвестные слева, Слева у тебя остается только y, а остальное перекидываешь вправо с противоположным знаком, и считаешь)
Ответ дал: Alinaskakova2004
0
А можешь сразу ответ написать.
Вас заинтересует