• Предмет: Алгебра
  • Автор: kristuna1234
  • Вопрос задан 9 лет назад

вынести множитель из под знака корня

Приложения:

Ответы

Ответ дал: Regent1828
0
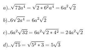
displaystyle  a)..sqrt{72a^{4}}= sqrt{2*6^{2}a^{4}}=6a^{2} sqrt{2} \  \ b)..6 sqrt{2a^{4}}=6a^{2} sqrt{2} \  \ c)..6a^{2} sqrt{32}=6a^{2} sqrt{2*4^{2}}=24a^{2} sqrt{2} \  \ d).. sqrt{75}= sqrt{5^{2}*3}=5 sqrt{3}
Приложения:
Вас заинтересует