• Предмет: Математика
  • Автор: nastya185789932
  • Вопрос задан 9 лет назад

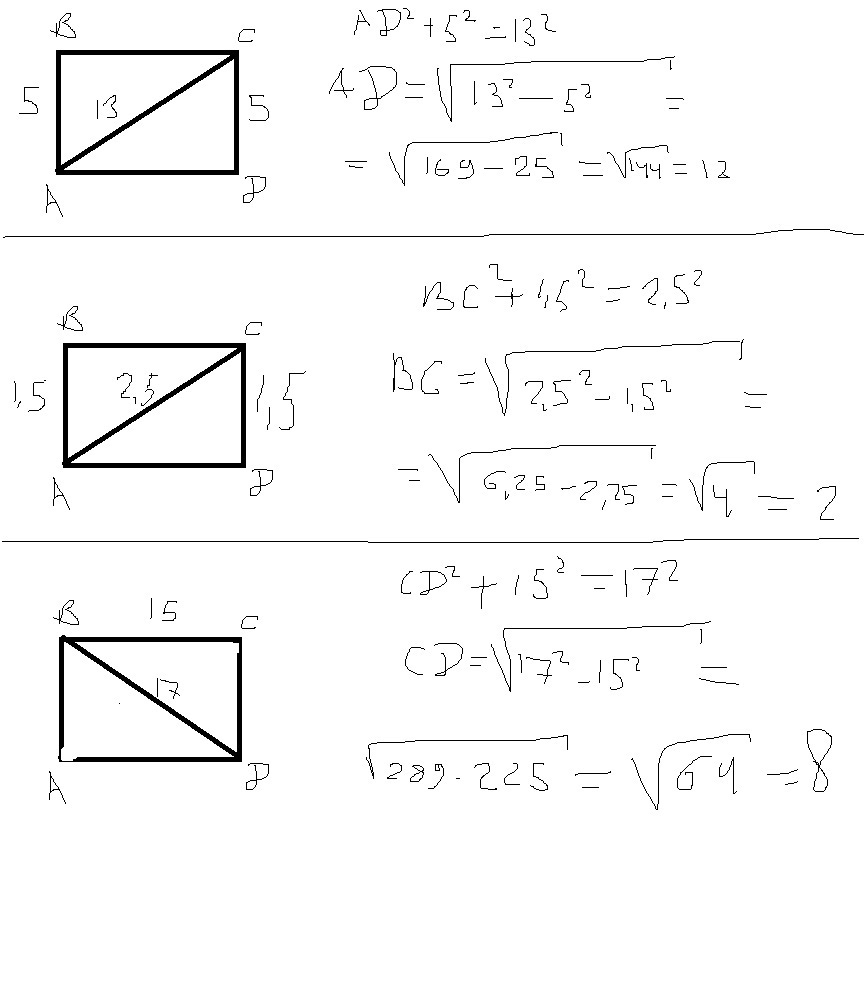
помогите решить задачу 486

Приложения:

Ответы

Ответ дал: DedushkaBake
0
____________________________________________
Приложения:
Вас заинтересует