СРОЧНО, ПОЖАЛУЙСТА
1)Определи значение переменной a после выполнения фрагмента алгоритма при a=1 и a=16.
Ввод а
если a>5
то a:=a+20
иначе a:=a*10
всё
Ответ: при a=1 значение переменной a равно (...), при a=16 значение переменной a равно(...).
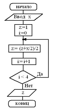
Дана блок-схема. Какое значение будет иметь z на выходе, если x=59? (При решении и в ответе округляй до десятых)
Приложения:
Ответы
Ответ дал:
0
1) При а=1. После выполнения куска кода а=10
При а=16. После выполнения куска кода а=26
При а=16. После выполнения куска кода а=26
Ответ дал:
0
Определи значение переменной a после выполнения фрагмента алгоритма при a=2 и a=19.
Ввод а
если a>5
то a:=a+20
иначе a:=a*10
всё
при a=2 значение переменной a равно
при a=19 значение переменной a равно
Ввод а
если a>5
то a:=a+20
иначе a:=a*10
всё
при a=2 значение переменной a равно
при a=19 значение переменной a равно
Ответ дал:
0
Помоги пож
Вас заинтересует
2 года назад
7 лет назад
7 лет назад
10 лет назад