• Предмет: Алгебра
  • Автор: avdey96
  • Вопрос задан 11 лет назад

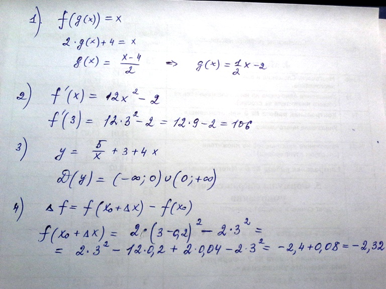
1.  Дана функция f(x)=2x+4. Найдите функцию g(x), такую, чтобы выполнялось равенство f(g(x))=x.

2.  Найдите значение  f'(3), если f(x) = 4x3 – 2x – 40

3.Найдите область определения функции  y=5/x+3 +4x

4.Найти приращение функции f(x)=2x2 в точке х0=3 и Δх= -0,2

 

Ответы

Ответ дал: artalex74
0

xxxxxxxxxxxxxxxxxxxxxxxxxxxxxxxxxxxxxxxxxxxxxxxxxxx

Приложения:
Вас заинтересует