Ребята! Очень прошу помочь с физикой!
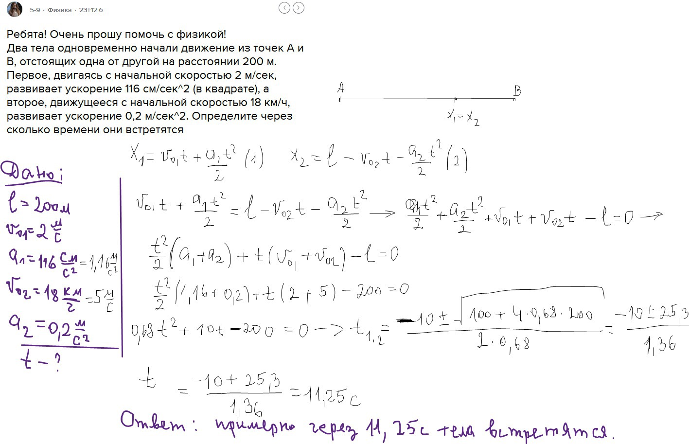
Два тела одновременно начали движение из точек А и В, отстоящих одна от другой на расстоянии 200 м. Первое, двигаясь с начальной скоростью 2 м/сек, развивает ускорение 116 см/сек^2 (в квадрате), а второе, движущееся с начальной скоростью 18 км/ч, развивает ускорение 0,2 м/сек^2. Определите через сколько времени они встретятся
Ответы
Ответ дал:
0
решение на фото в приложенном файле
Приложения:

Вас заинтересует
2 года назад
2 года назад
7 лет назад
9 лет назад
9 лет назад
10 лет назад
10 лет назад