• Предмет: Математика
  • Автор: MsCat
  • Вопрос задан 11 лет назад

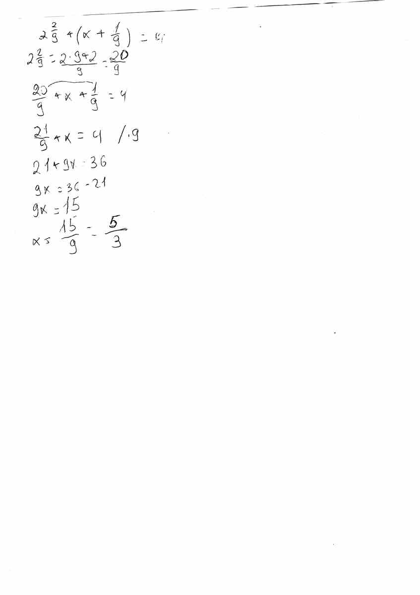
Решите уравнение 2 2  + ( х + 1 ) =4  

                                       __            _

                                        9              9

 

 

 

 

И задачу . В зеронхранилище біло 120 т зерна. за первій день вівезли 35 %всего зерна. За второй 25 % всего зерна. Сколько тонн зерна осталось ?

Ответы

Ответ дал: nikitaaz
0

===============================

Приложения:
Вас заинтересует