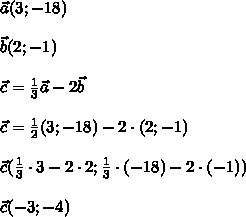
Даны векторы a(3;-18), b=2i-j, c=a/3-2b.Найдите координаты
и длину вектора "с". Пж с обьяснениями.
Ответы
Ответ дал:
0
вот здесь все решение
Приложения:

Вас заинтересует
2 года назад
7 лет назад
7 лет назад
9 лет назад
9 лет назад
10 лет назад
10 лет назад