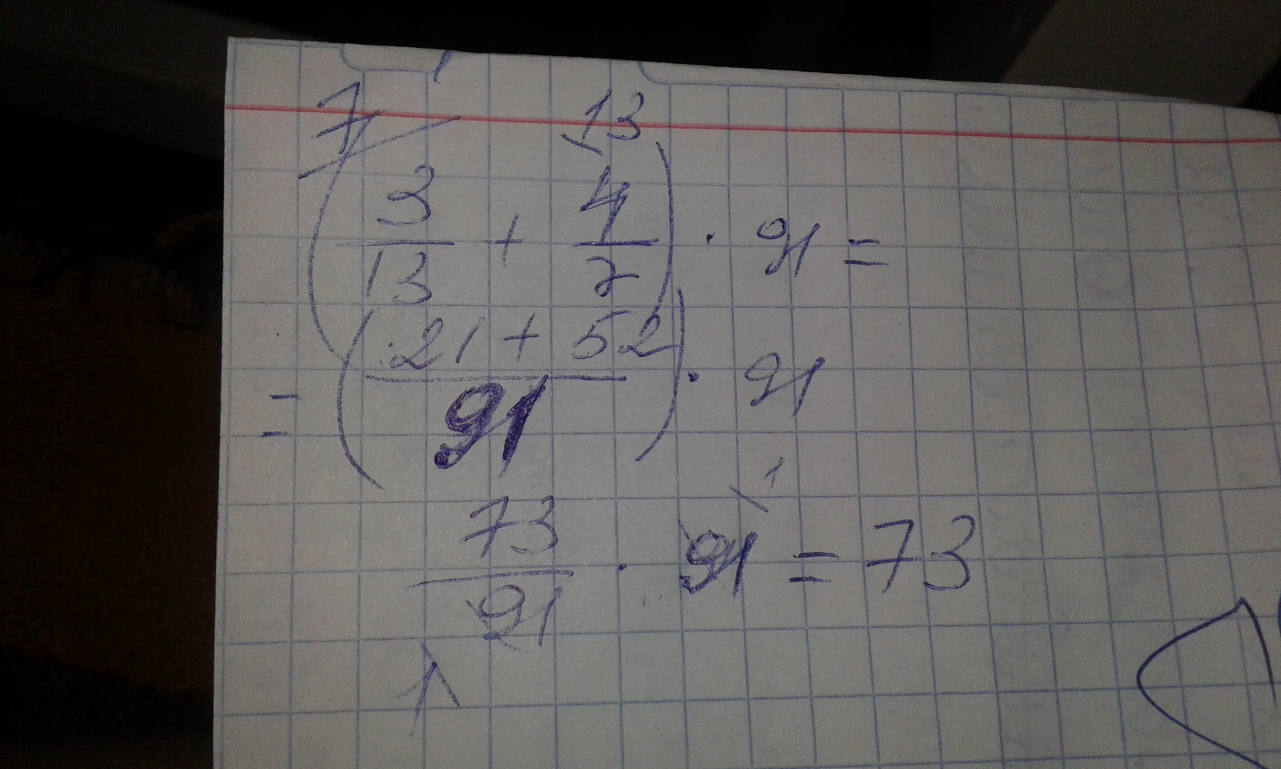
(3/13+4/7)*91
2. посадки леса занимают 420 га ,ели занимают 63,5% этой площади, A сосны 29%. На сколько гектаров площадь, занятая елями, большие площади заняты соснами? 3. учитель 0,4 урока объяснял материал пятых этого времени урока ушла на решение задачи оставшееся время учащиеся писали самостоятельную работу сколько минут в часы работы Если урок длился 45 минут?
Ответы
Ответ дал:
0
1.(3/13+4/7)*91=73
2.Посадки леса занимают 420 га. Или занимают 63,5 этой площади,а сосны 29%. На сколько гектаров площадь,занятая елями ,больше площади, занятой соснами
420*0,635=266,7 ели занимают
420*0,29=121,8 сосны занимают
на 266,7-121,8=144,9 гектаров площадь,занятая елями ,больше площади, занятой соснами
3.0,4 * 45 = 18 минут ушло на объяснение нового материала
45 - 18 = 27 минут урока осталось
27 * 5/9 = 15 минут ушло на решение задач
27 - 15 = 12 минут писали самостоятельную работу
Ответ дал:
0
Вот______________________
Приложения:

Вас заинтересует
2 года назад
7 лет назад
7 лет назад
9 лет назад
9 лет назад
10 лет назад