• Предмет: Математика
  • Автор: adzhimullaev200
  • Вопрос задан 9 лет назад

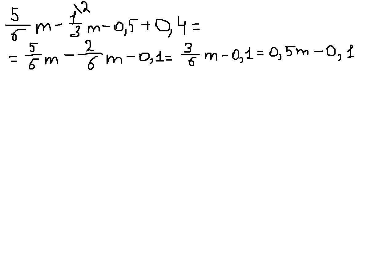
5/6m-1/3m-0,5+0,4 решите плиз побыстрому

Ответы

Ответ дал: Darya1805
0
..............................................
Приложения:
Ответ дал: PlajinRus
0
а в чем второй вопрос
Ответ дал: PlajinRus
0
нужно m подобрать?
Ответ дал: adzhimullaev200
0
lf
Ответ дал: adzhimullaev200
0
да
Ответ дал: PlajinRus
0
13
Вас заинтересует