• Предмет: Математика
  • Автор: ангел603
  • Вопрос задан 9 лет назад

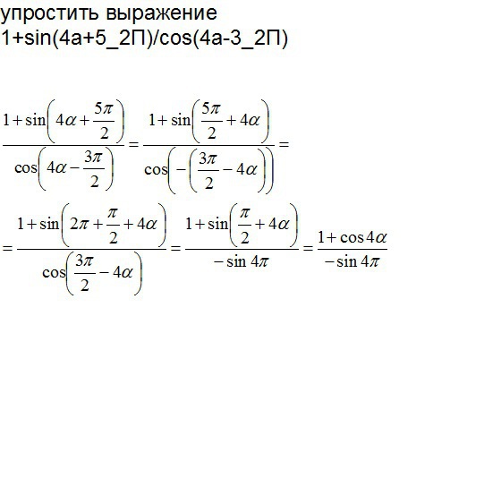
упростить выражение 1+sin(4a+5_2П)/cos(4a-3_2П)

Ответы

Ответ дал: kirichekov
0
решение во вложении----------------------

Приложения:
Вас заинтересует