Определите массу Серебряной ложки если для изменения ее температуры от 20 градусов по Цельсию до 40 до 40 градусов по Цельсию требуется 250 джоулей энергии удельная теплоемкость серебра 250 джоуль деленный на килограмм умноженное на градус
Ответы
Ответ дал:
0
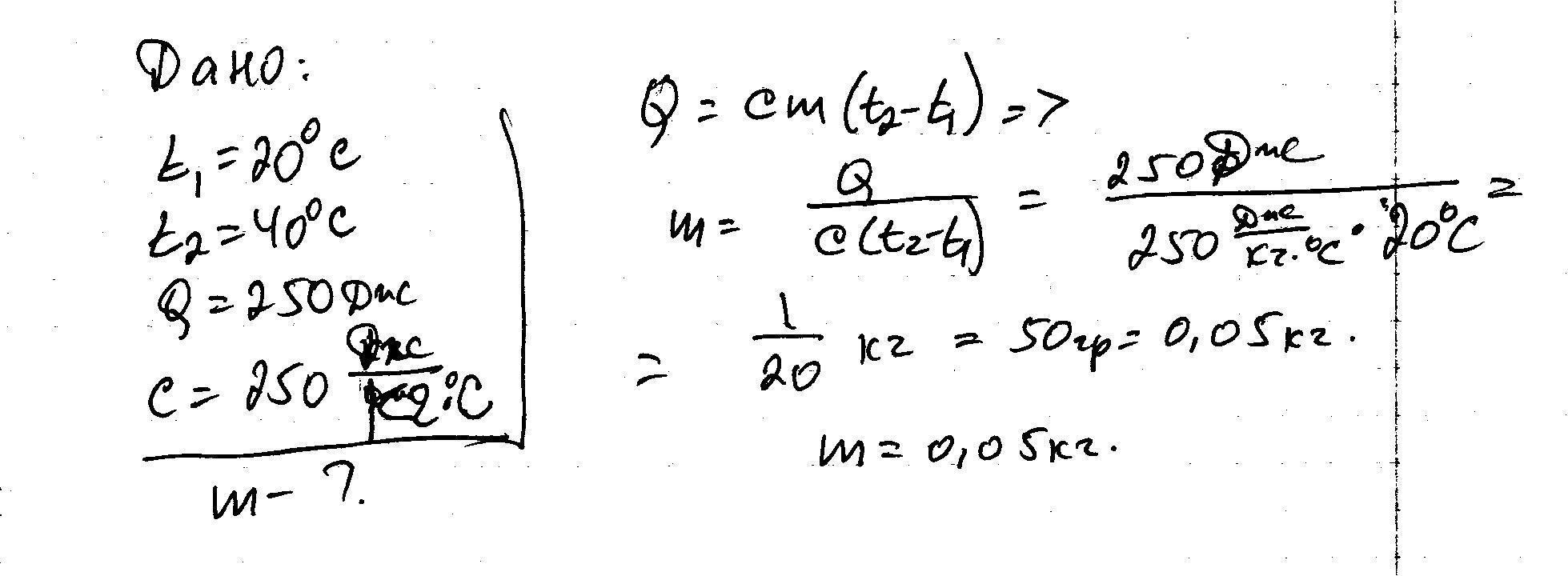
Q=cmT
Q=250Дж
T=40-20=20C
c=250Дж/(кг*С)
m=0.05 кг
Приложения:

Ответ дал:
0
это верно?
Ответ дал:
0
да
Ответ дал:
0
Q=cmdT; 250 Дж = 250 Дж/(кг*К) * m * (40-20) К;
Ответ дал:
0
1 = 20m кг; m = 1 / 20 кг = 0,05 кг = 50 г
Вас заинтересует
2 года назад
2 года назад
7 лет назад
7 лет назад
9 лет назад
9 лет назад
10 лет назад