Ответы
Ответ дал:
0
Решение в прикрепленном файле
Приложения:

Ответ дал:
0
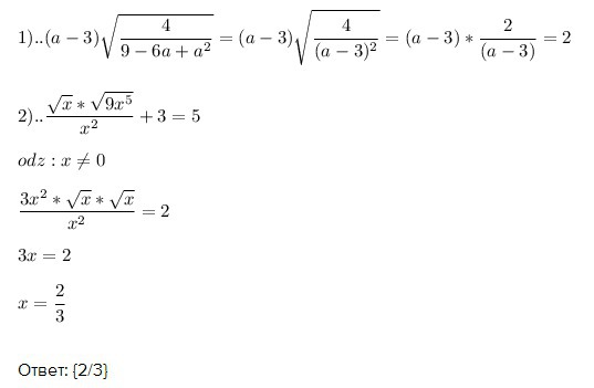
Ответ: {2/3}
Приложения:

Вас заинтересует
2 года назад
7 лет назад
7 лет назад
9 лет назад
10 лет назад