Ответы
Ответ дал:
0
1)Если мы опустим перпендикуляр из В на Ох и обозначим точку рересечения, как Н, то получим прямоугольный тр-к ОВН, у которого
катеты равны. Следовательно угол ВОН равен 45°
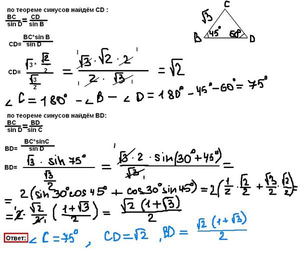
2)на фото
3)1) Найдем длины сторон: АВ=sqrt((0-3)^2+(6-9)^2)=sqrt(9+9)=sqrt(18)=3*sqrt(2);
катеты равны. Следовательно угол ВОН равен 45°
2)на фото
3)1) Найдем длины сторон: АВ=sqrt((0-3)^2+(6-9)^2)=sqrt(9+9)=sqrt(18)=3*sqrt(2);
BC=sqrt((4-0)^2+(2-6)^2)=sqrt(16+16)=sqrt(32)=4*sqrt(2);
AC=sqrt((4-3)^2+(2-9)^2)=sqrt(1+49)=sqrt(50)=5*sqrt(2).
2) Угол А образован сторонами АВ и АС. По теореме косинусов:
BC^2=AB^2+AC^2-2*AB*AC*cosA; => cosA=(AB^2+AC^2-BC^)/(2*AB*AC)=
=(18+50-32)/(2*3*sqrt(2)*5*sqrt(2))=36/60=3/5.
Приложения:
Вас заинтересует
3 года назад
3 года назад
7 лет назад
7 лет назад
10 лет назад
10 лет назад