Помогите,пожалуфста,до завтра надо сделать:с
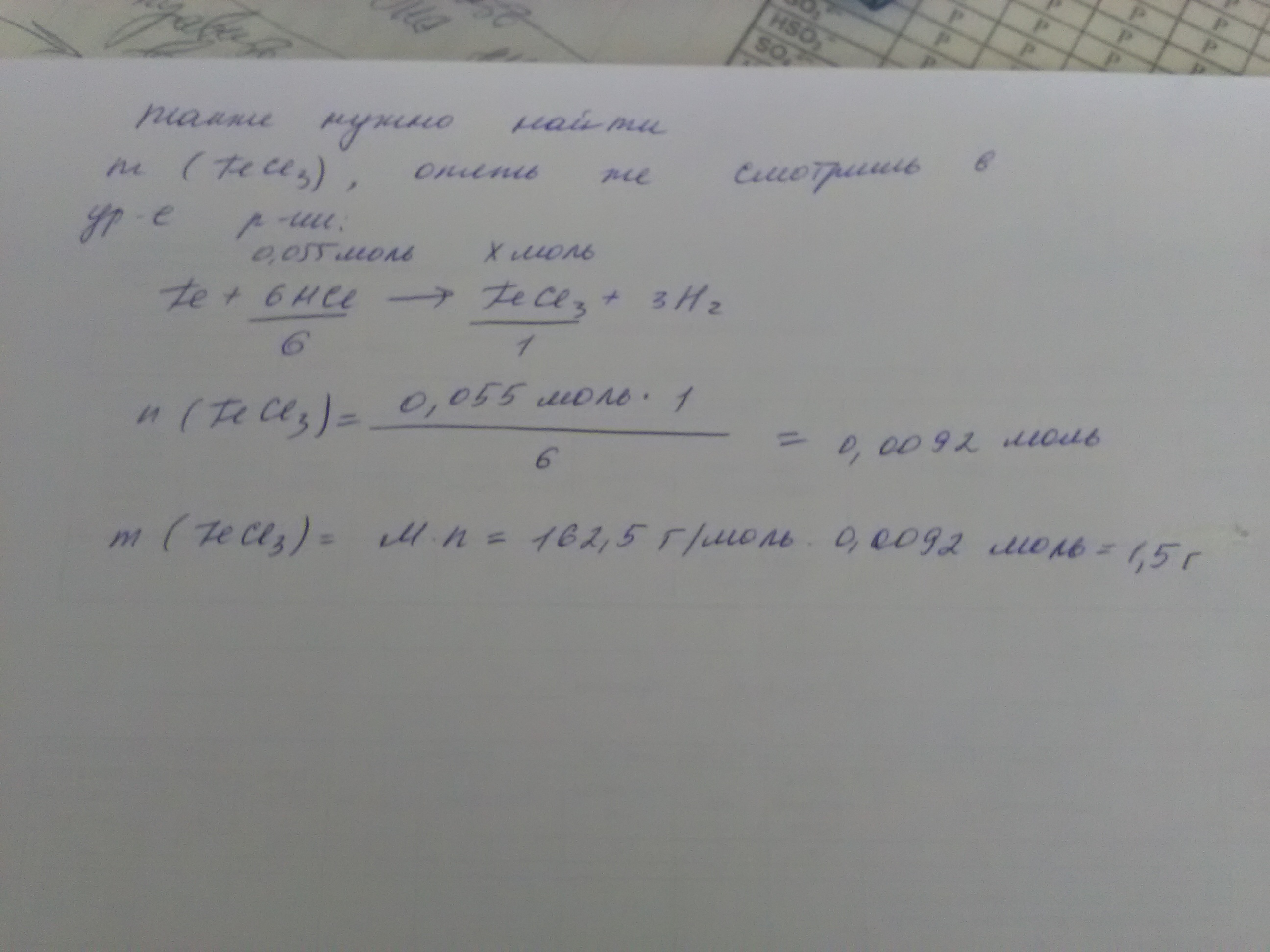
При взаимодействии железа с 20 г 10 %-ого раствора соляной кислоты выделилось 0,5 л водорода.Вычислите этот выход водорода в процентах от теоретически возможного.Рассчитайте массу образовавшегося хлорида железа 3.
Только с подробными объяснениями.Чтоб я поняла как подобные задачи решать.Спасибо.
Ответы
Ответ дал:
0
,,,,,,,,,,,,,,,,,,,,,,,
Приложения:
Ответ дал:
0
Огромнейшее спасибо!
Вас заинтересует
3 года назад
3 года назад
7 лет назад
7 лет назад
10 лет назад
10 лет назад
10 лет назад
10 лет назад