Ответы
Ответ дал:
0
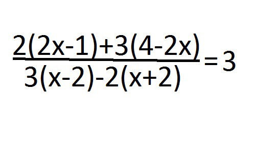
2(2x-1)+3(4-2x)/3(x-2)-2(x+2)=3
4x-2+12-6x/3x-6-2x-4=3
10-2x/x-10=3
10-2x=3x-30
10+30=3x+2x
40=5x
x=40/5
x=8
4x-2+12-6x/3x-6-2x-4=3
10-2x/x-10=3
10-2x=3x-30
10+30=3x+2x
40=5x
x=40/5
x=8
Вас заинтересует
2 года назад
7 лет назад
7 лет назад
10 лет назад