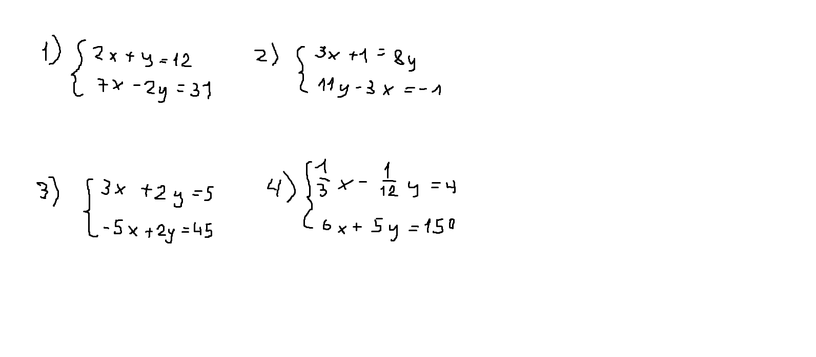
ребят помагите пожалуста решить систымы линейных уравнений первые два решить способом подстановки 3 4 решить способом сожения желательно с фоткой
Приложения:

Ответы
Ответ дал:
0
Решение смотри во вложении)
удачи!)
Приложения:


Вас заинтересует
2 года назад
2 года назад
10 лет назад
10 лет назад