• Предмет: Физика
  • Автор: meelony123
  • Вопрос задан 11 лет назад

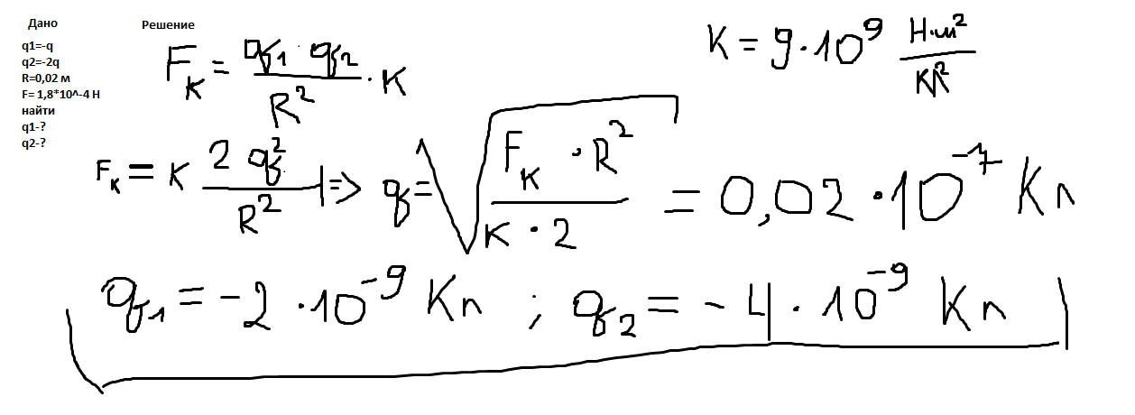
два отрицательных заряда -q и -2q находятся на расстоянии 20мм.Заряды взаимодействуют с силой 1,8*10^-4 Н.Каково значение каждого заряда?

Ответы

Ответ дал: АлександрР
0

решение на рисунке000000000

если что непонятно пиши в лс

также проверь вычисления

Приложения:
Вас заинтересует