• Предмет: Алгебра
  • Автор: EldarDzharahov
  • Вопрос задан 9 лет назад

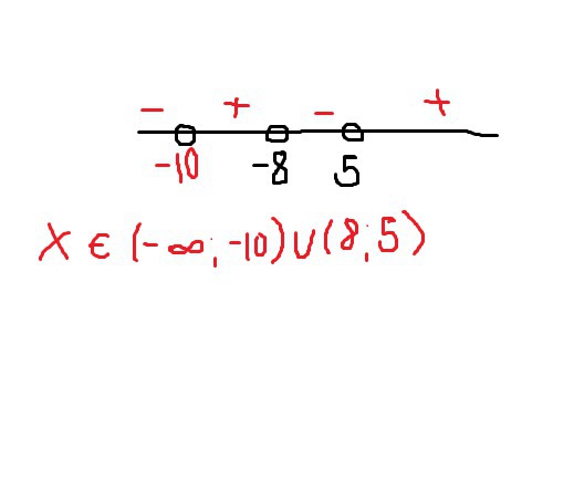
Решите неравенство, использую метод интервалов (x+8)(x-5)(x+10)<0

Ответы

Ответ дал: peppinezz
0
ось будь ласка))))))
Приложения:
Ответ дал: EldarDzharahov
0
Дуже вдячний)
Ответ дал: peppinezz
0
звертайся)
Вас заинтересует