• Предмет: Алгебра
  • Автор: МаришаС56
  • Вопрос задан 9 лет назад

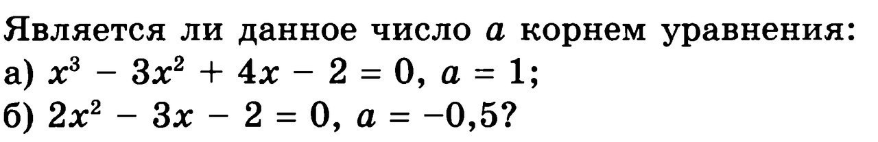
решите пожалуйста . Очень надо.

Приложения:

Ответы

Ответ дал: Vadimka62005
0
пункт а) не равно 0, пункт б) равно

Ответ дал: МаришаС56
0
спасибо
Ответ дал: Vadimka62005
0
пожалуйста
Вас заинтересует