• Предмет: Геометрия
  • Автор: sid9208
  • Вопрос задан 9 лет назад

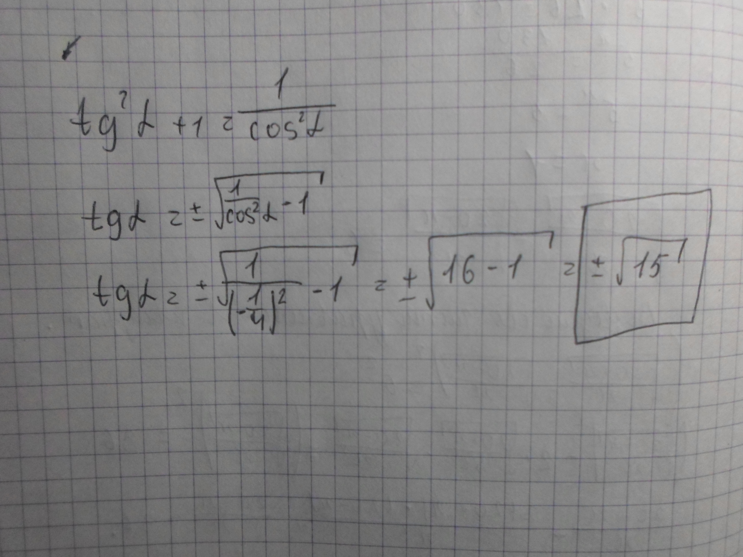
найдите значение tg альфа если известно что cos альфа= -1/4

Ответы

Ответ дал: СтасЕфремов
0
...........................................
Приложения:
Ответ дал: sid9208
0
слушай корефан, ответы есть минус корень из 15; -3/4; -4; -4/3
Ответ дал: СтасЕфремов
0
ААА тю, в квадрат забыл возвести
Ответ дал: СтасЕфремов
0
сек
Ответ дал: СтасЕфремов
0
Вот!
Вас заинтересует