ЗАПИШИ ВЫЧЕСЛЕНИЯ СТОЛБИКОМ
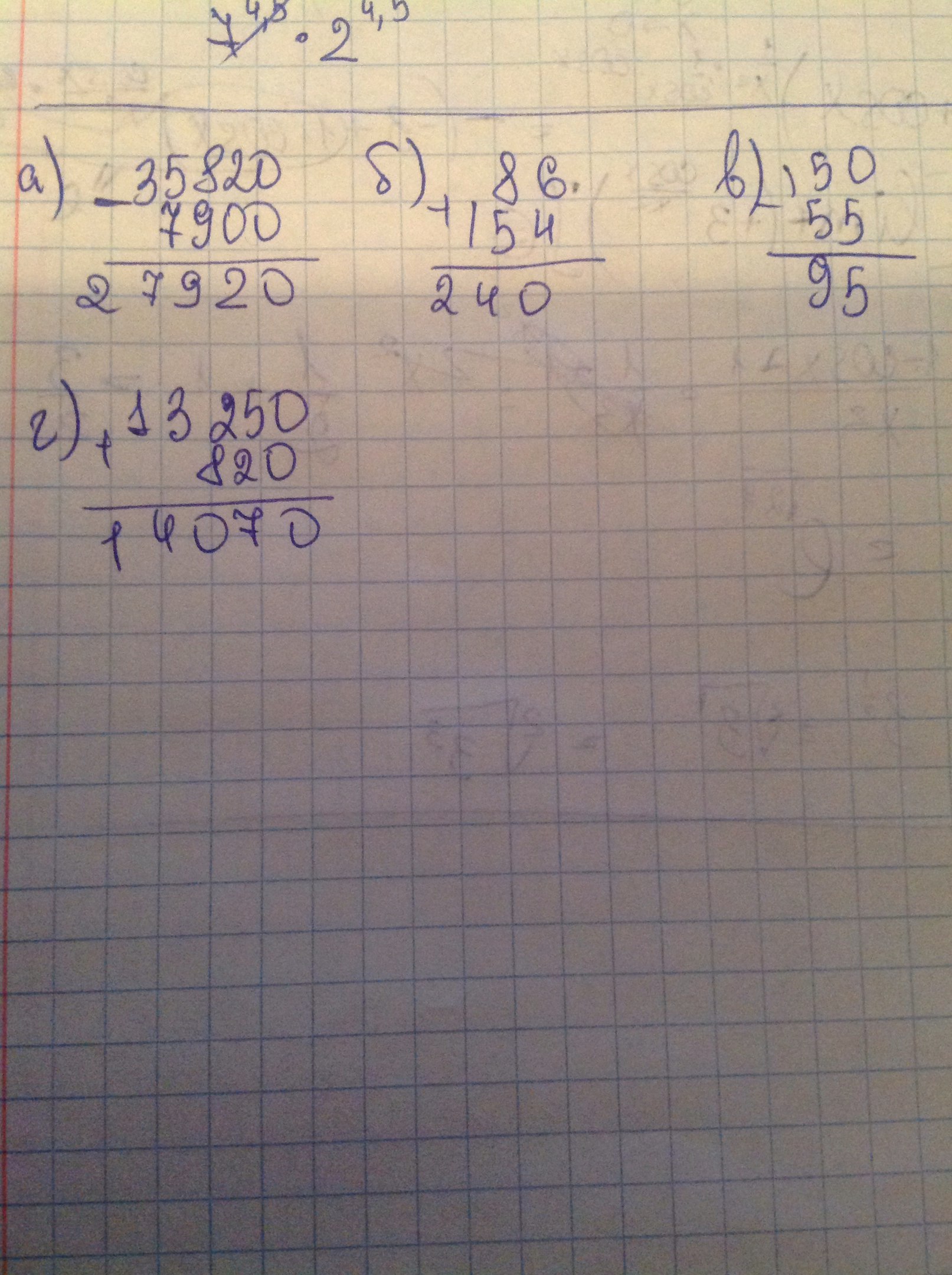
35 КМ 820 М -7 КМ 900 М=?
1 ЧАС 26 МИН +2 ЧАСА 34 МИН=?
2 ЧАСА 30 МИН-55 МИН=?
13 ТОНН 250 КГ+820 КГ=?
Ответы
Ответ дал:
0
ответ на фото )))))))))))))))))
Приложения:

Ответ дал:
0
КМ НА ПЕРЕВЕСТИ В МЕТРЫ
Ответ дал:
0
ЧАСЫ В МИН
Ответ дал:
0
ТОННЫ В КГ
Ответ дал:
0
ИЗВЕНИ НО ПЕПРАВЕЛЬНО НО Я ПОСТАВИЛ СПАСИБО
Ответ дал:
0
ну так я перевела, записано же километры в метрах, часы в минутах, и тонны в килограммах записаны
Ответ дал:
0
1) _ 35820 2) 86 3) _150 4)13250
7900 154 55 820
------------------- -------- --------- ----------
27920 240 95 14070
Приложения:

Ответ дал:
0
ЧТО
Вас заинтересует
2 года назад
2 года назад
7 лет назад
9 лет назад
10 лет назад
10 лет назад