• Предмет: Математика
  • Автор: waleratanya6
  • Вопрос задан 9 лет назад

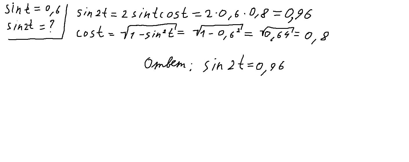
известно что sin t=0.6 0 Найти sin 2t
Очень срочно!!!!! Заранее спасибо!)

Ответы

Ответ дал: Bleach777
0
Вот решение(надеюсь написал разборчиво):
Приложения:
Вас заинтересует