• Предмет: Алгебра
  • Автор: Аноним
  • Вопрос задан 9 лет назад

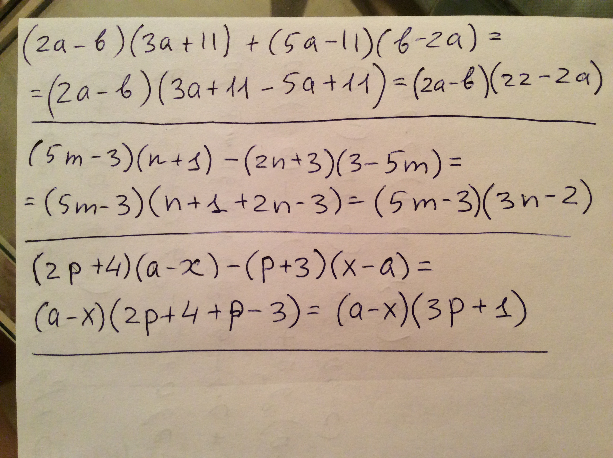
Разложите на множители,вынеся общиц множитель за скобки

Приложения:

Ответы

Ответ дал: uchnatasha
0
(2a-b)(3a+11-5a+11)=(2a-b)(22-2a)
(5m-3)(n+1+2n+3)=(5m-3)(3n+4)
(a-x)(2p+4+p+3)=(a-x)(3p+7)
Ответ дал: farnit
0
Со знаками напутали во втором и третьем
Ответ дал: farnit
0
Решение в приложении к ответу
Приложения:
Ответ дал: uchnatasha
0
Это вы напутали со знаком во втором и в третьем. Знак меняется перед скобкой с минуса на плюс. Т.е. при раскрытии скобок мы их просто опускаем, знаки при этом оставляем прежними
Ответ дал: farnit
0
Согласна, это у меня ошибка в расчетах.
Вас заинтересует