Ответы
Ответ дал:
0
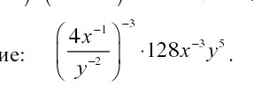
степень в степени - основа остаються степени умножаються
степени умножаються - основы остаються степени суммируются
Работает только с одинаковыми основами
в дробе сразу ее переворачиваешь, потому что отрицательная степень, а потом верх и низ возносиш в куб
степени умножаються - основы остаються степени суммируются
Работает только с одинаковыми основами
в дробе сразу ее переворачиваешь, потому что отрицательная степень, а потом верх и низ возносиш в куб
Ответ дал:
0
а что за основа? :D
Ответ дал:
0
основа это то что ты возносиш в степень
Вас заинтересует
2 года назад
2 года назад
7 лет назад
10 лет назад
10 лет назад
10 лет назад