Ответы
Ответ дал:
0
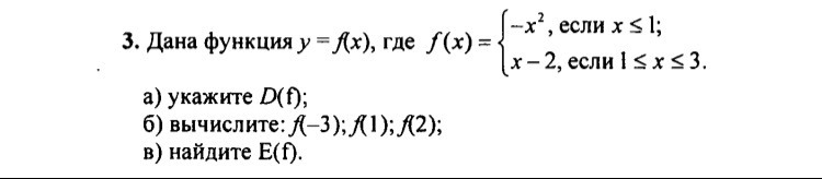
D(f)=(-∞;3]
f(-3)=-9
f(1)=-1
f(2)=0
E(f)=(-∞;1]
f(-3)=-9
f(1)=-1
f(2)=0
E(f)=(-∞;1]
Вас заинтересует
2 года назад
2 года назад
7 лет назад
10 лет назад
10 лет назад
10 лет назад
10 лет назад