• Предмет: Алгебра
  • Автор: FBISS
  • Вопрос задан 9 лет назад

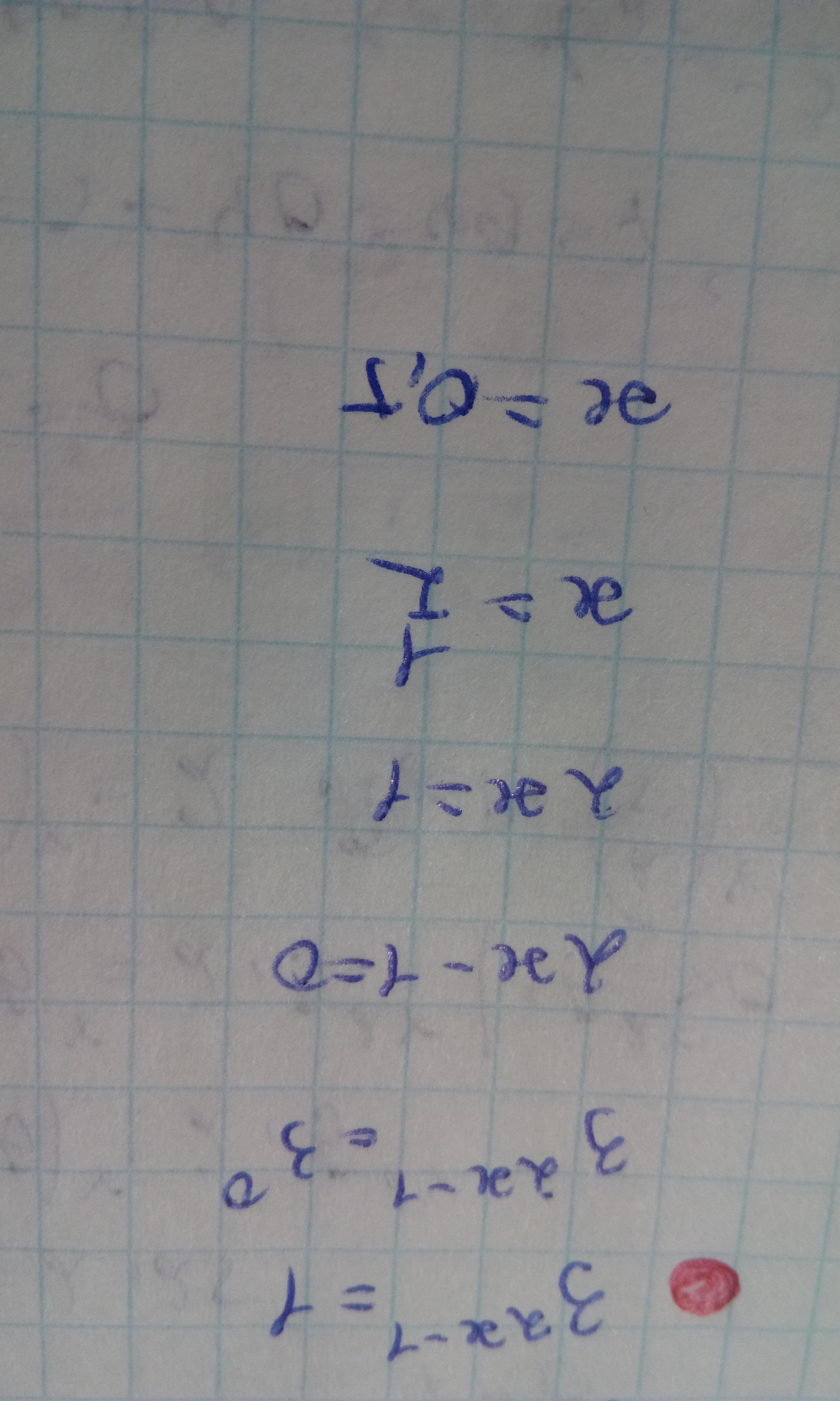
Розв'язати показникове рівняння
3^2x-1=1

Ответы

Ответ дал: irinan2014
0
Решение дано на фото.
Приложения:
Вас заинтересует