• Предмет: Алгебра
  • Автор: AlbuRin
  • Вопрос задан 9 лет назад

Помогите разобраться)))
Что нужно делать???В школе такого не проходим!!
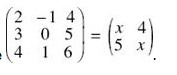
Для помощи: там ответ 20

Приложения:

Ответы

Ответ дал: amin07am
0
Ответ ¥¥£€£¥₩¥£€£¥₩₩£
Приложения:
Ответ дал: AlbuRin
0
Можете объяснить, что вы делали 1 действием????(2*0*6+3*1*4.......)
Ответ дал: AlbuRin
0
Я кроме решения квадратного уравнения ничего не понял. Просто в матрицах нифига не шарю
Вас заинтересует