Помогите пожалуйста решить:
Найти пределы функций
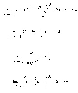
1) Lim2(x+1)^3-(x-2)^3/x^2+2x-3 при х стремится к бесконечности
2) lim 7^2+8x+1/x+1 при х стремится к -1
3) lim x^2/sin^2*3x при х стремится к 0
4) lim (6x-7/6x+4)^3x+2 при х стремится к бесконечности
Ответы
Ответ дал:
0
Смотри вложение
111111111111111111111111111111111111111111111111111111111111
Приложения:

Вас заинтересует
2 года назад
8 лет назад
8 лет назад
10 лет назад
10 лет назад