Умоляю вас Пожалуйста сделайте очень срочно номер 421 сделайте быстро умоляю это просьба это не указание это просьба Умоляю вас Сделайте пожалуйста Сделайте пожалуйста номер 423 тоже очень срочно надо это просьба
Приложения:

Ответы
Ответ дал:
0
.....................
Приложения:

Ответ дал:
0
можешь написать в 423 чуть больше инфо
Ответ дал:
0
пожалуйста
Ответ дал:
0
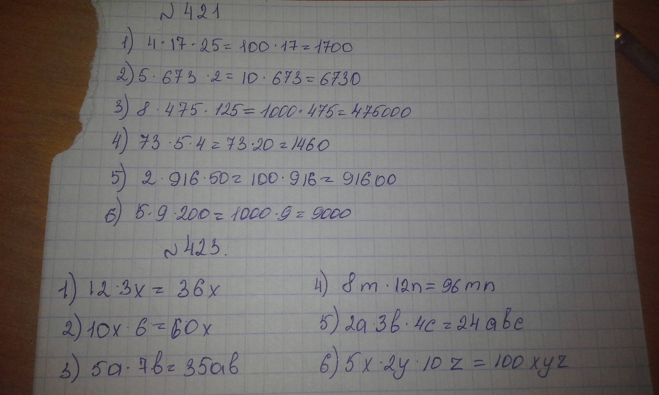
421. 1. 4×25×17=100×17=1700
2. 5×2×673=10×673=6730
3. 8×125×475=1000×475=475000
4. 5×4×73=20×73=1460
5. 50×2×916=100×916=91600
6. 5×200×9=1000×9=9000
423. 1. 12×3х Делим обе части на 3 и будет 4x
2. 10x×6 Делим обе части на 2 и будет 5x×3=15x
3. 5a×7b=35ab
4. 8m×12n Делим обе части на 4 и будет 2m×3n=6mn
5. 2a×3b×4c Можно разделить на 2 и будет a×3b×2c=6abc
6. 5x×2y×10z Делим 2 и 10 на 2 получаем 5х×y×5z и делим 5х и 5z на 5 и получаем x×y×z=xyz
2. 5×2×673=10×673=6730
3. 8×125×475=1000×475=475000
4. 5×4×73=20×73=1460
5. 50×2×916=100×916=91600
6. 5×200×9=1000×9=9000
423. 1. 12×3х Делим обе части на 3 и будет 4x
2. 10x×6 Делим обе части на 2 и будет 5x×3=15x
3. 5a×7b=35ab
4. 8m×12n Делим обе части на 4 и будет 2m×3n=6mn
5. 2a×3b×4c Можно разделить на 2 и будет a×3b×2c=6abc
6. 5x×2y×10z Делим 2 и 10 на 2 получаем 5х×y×5z и делим 5х и 5z на 5 и получаем x×y×z=xyz
Приложения:

Ответ дал:
0
а можешь щас написать
Ответ дал:
0
Я на улице)
Ответ дал:
0
буду очень бла6одарна
Ответ дал:
0
а понятно
Ответ дал:
0
а ты вскоре придёшь домой
Вас заинтересует
2 года назад
7 лет назад
9 лет назад
9 лет назад
10 лет назад