помогите срочно !! задания с одночленами , я не понимаю тему а у нас самостоятельная
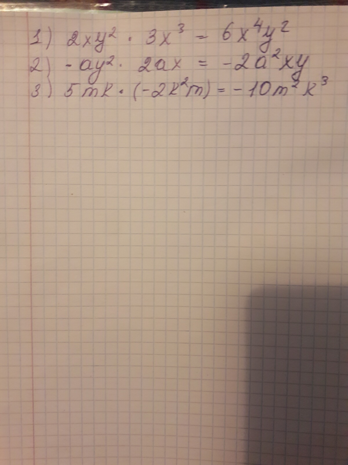
найти пороизведение
1) (2xy^2)*(3x^3)
2) (-ay^2)*(2ax)
3) (5mk)*(-2k^2m)
Ответы
Ответ дал:
0
Решение .................
Приложения:

Вас заинтересует
2 года назад
2 года назад
7 лет назад
7 лет назад
9 лет назад
9 лет назад
10 лет назад