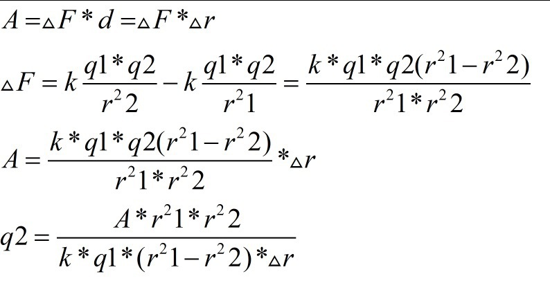
Два точечных одноимённых заряда находятся в вакууме на
расстоянии r1 = 40 см. Для сближения зарядов до расстояния
r2 = 10 см затратили работу A = 2,03 мкДж. Определите заряд q2,
если q1 = 2 нКл.
Ответы
Ответ дал:
0
Вычислишь уж сам...........................
Приложения:
Вас заинтересует
3 года назад
3 года назад
7 лет назад
7 лет назад
10 лет назад
10 лет назад
10 лет назад
10 лет назад