• Предмет: Алгебра
  • Автор: Аноним
  • Вопрос задан 9 лет назад

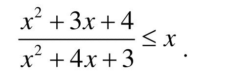
Помогите решить неравенство!

Приложения:

Ответы

Ответ дал: milashka0710
0
(x+1)(x+3)《x
x=-1
x=-3
Вас заинтересует