помогите пожалуйста при каких значениях x верно равенство x-5 целых восемь девятых =4 целых две пятых
Ответы
Ответ дал:
0
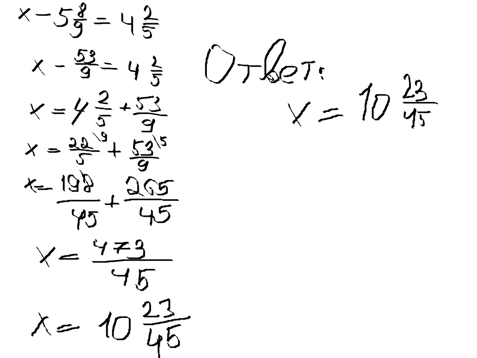
вот держи...если что-то не понятно пиши внизу
Приложения:

Ответ дал:
0
спасибо большое
Вас заинтересует
2 года назад
7 лет назад
7 лет назад
9 лет назад
10 лет назад